组织主要公益事项ORGANIZING PUBLIC WELFARE MATTERS

暖心行动与爱同行GO WITH LOVE

在每个项目村设立儿童福利主任。他们能及时发现困境儿童,又熟悉不同国家部门的政策,可以为困境儿童申请救助和提供帮助,如办理户口医保等。

了解更多

公益作用EVENT REVIEW

以往公益记录PAST RECORDS

暖心行动与爱同行GO WITH LOVE

在每个项目村设立儿童福利主任。他们能及时发现困境儿童,又熟悉不同国家部门的政策,可以为困境儿童申请救助和提供帮助,如办理户口医保等。

了解更多

感谢合作伙伴THANK YOU PARTNER

新闻资讯NEWS AND INFORMATION

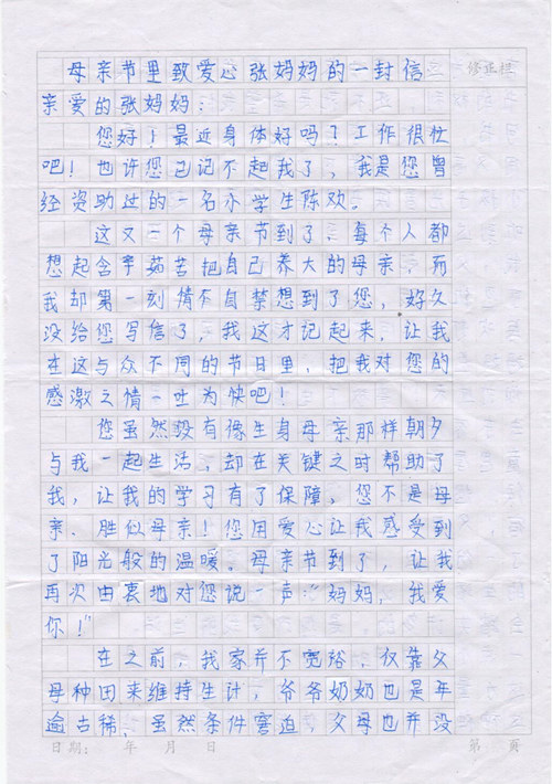
湖北省建始县红岩民族小学陈欢母亲节里致基金会爱心人士的一封信 - 天津市景华公益基金网

湖北省建始县红岩民族小学陈欢母亲节里致基金会爱心人士的一封信

发布时间:2014-08-31